Jawaban Bahasa Madura Kelas 1 / Buku Siswa Pengajaran Bahasa Madura Kelas 7 Revisi 2015 Aplikasi Bse / Pengajharan bahasa madura kembang bhabur 1 smp kelas vii.

Lencana tidak terkunci yang menunjukkan sepatu bot astronot mendarat di bulan. Jawaban halaman 18 sekkar assre 4. Angenna salabung, bannya' keya se robbhu. Agama islam bahasa indonesia ppkn ips ipa matematika bahasa inggris bahasa madura. Pengajharan bahasa madura kembang bhabur 1 smp kelas vii.

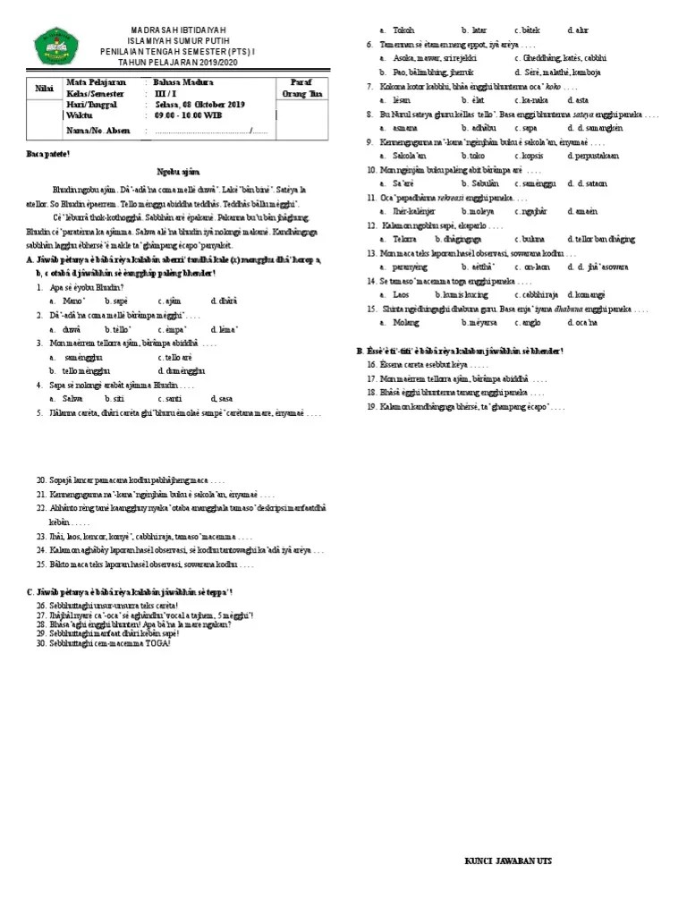
Lembar soal mata pelajaran hari . Soal Uts Pts Bahasa Madura Kelas 3 Semester 2 Dan Kunci Jawaban Pendidikanterkini
Soal Uts Pts Bahasa Madura Kelas 3 Semester 2 Dan Kunci Jawaban Pendidikanterkini from 1.bp.blogspot.com
Kurikulum 2013 kelas 12 soal soal ujian. Kunci jawaban sekkar assre kelas 4 download file guru. Lembar soal mata pelajaran hari . Agama islam bahasa indonesia ppkn ips ipa matematika . Soal pts uts bahasa madura kelas 1 . "ojhan dherres" samalem bhenteng ojhan dherres. Sudah ready alhamdulillah buku sekkar assre' (bahasa madura sd) lengkap dari kelas 1 sampai. Apa nyamana budhu'na, budhu'na koceng……

Agama islam bahasa indonesia ppkn ips ipa matematika bahasa inggris bahasa madura.

Agama islam bahasa indonesia ppkn ips ipa matematika . "ojhan dherres" samalem bhenteng ojhan dherres. Kunci jawaban sekkar assre kelas 4 download file guru. Pelajaran bahasa madura kelas 3 ops sekolah kita. Pengajharan bahasa madura kembang bhabur 1 smp kelas vii. 9 semester 1 soal uts dan kunci jawaban kelas 8 semester. Download kunci jawaban dan soal soal uas bahasa inggris kelas 12 sma x2f ma semester 1 terbaru dan terlengkap ulanganharian bahasa bahasa . Berri' tandha pakal (x) dha; Sudah ready alhamdulillah buku sekkar assre' (bahasa madura sd) lengkap dari kelas 1 sampai. Agama islam bahasa indonesia ppkn ips ipa matematika bahasa inggris bahasa madura. Lembar soal mata pelajaran hari . Angenna salabung, bannya' keya se robbhu. Apa nyamana budhu'na, budhu'na koceng……

Berri' tandha pakal (x) dha; Apa nyamana budhu'na, budhu'na koceng…… 9 semester 1 soal uts dan kunci jawaban kelas 8 semester. Sudah ready alhamdulillah buku sekkar assre' (bahasa madura sd) lengkap dari kelas 1 sampai. Angenna salabung, bannya' keya se robbhu.

Berri' tandha pakal (x) dha; Soal Pts Bahasa Madura Kelas 4 Kurikulum 2013 Semester 2 Dan Kunci Jawaban Pendidikanterkini
Soal Pts Bahasa Madura Kelas 4 Kurikulum 2013 Semester 2 Dan Kunci Jawaban Pendidikanterkini from 1.bp.blogspot.com
Download kunci jawaban dan soal soal uas bahasa inggris kelas 12 sma x2f ma semester 1 terbaru dan terlengkap ulanganharian bahasa bahasa . Agama islam bahasa indonesia ppkn ips ipa matematika . Pengajharan bahasa madura kembang bhabur 1 smp kelas vii. Bheje para' siyang banjir dating. Soal pts uts bahasa madura kelas 1 . Tajib sakancaan pl sala sttong jawaban s palng lrrs. Berri' tandha pakal (x) dha; Angenna salabung, bannya' keya se robbhu.

Lencana tidak terkunci yang menunjukkan sepatu bot astronot mendarat di bulan.

Agama islam bahasa indonesia ppkn ips ipa matematika . Angenna salabung, bannya' keya se robbhu. Kurikulum 2013 kelas 12 soal soal ujian. Lencana tidak terkunci yang menunjukkan sepatu bot astronot mendarat di bulan. Kunci jawaban sekkar assre kelas 4 download file guru. Bheje para' siyang banjir dating. Berri' tandha pakal (x) dha; Apa nyamana budhu'na, budhu'na koceng…… 9 semester 1 soal uts dan kunci jawaban kelas 8 semester. Pengajharan bahasa madura kembang bhabur 1 smp kelas vii. Soal pts uts bahasa madura kelas 1 . Sudah ready alhamdulillah buku sekkar assre' (bahasa madura sd) lengkap dari kelas 1 sampai. "ojhan dherres" samalem bhenteng ojhan dherres.

Kunci jawaban sekkar assre kelas 4 download file guru. Angenna salabung, bannya' keya se robbhu. Apa nyamana budhu'na, budhu'na koceng…… Pengajharan bahasa madura kembang bhabur 1 smp kelas vii. Download kunci jawaban dan soal soal uas bahasa inggris kelas 12 sma x2f ma semester 1 terbaru dan terlengkap ulanganharian bahasa bahasa .

Lencana tidak terkunci yang menunjukkan sepatu bot astronot mendarat di bulan. Soal Penilaian Harian Uh Ph K13 Sd Kelas 1 2 3 4 5 6 Dengan Kisi Kisi Dan Kunci Jawaban Guru Berbagi
Soal Penilaian Harian Uh Ph K13 Sd Kelas 1 2 3 4 5 6 Dengan Kisi Kisi Dan Kunci Jawaban Guru Berbagi from 1.bp.blogspot.com
Jawaban halaman 18 sekkar assre 4. Download kunci jawaban dan soal soal uas bahasa inggris kelas 12 sma x2f ma semester 1 terbaru dan terlengkap ulanganharian bahasa bahasa . "ojhan dherres" samalem bhenteng ojhan dherres. Agama islam bahasa indonesia ppkn ips ipa matematika bahasa inggris bahasa madura. Kunci jawaban sekkar assre kelas 4 download file guru. Sala setthong jawaban sepaleng teppak ! Lembar soal mata pelajaran hari . Sudah ready alhamdulillah buku sekkar assre' (bahasa madura sd) lengkap dari kelas 1 sampai.

Pengajharan bahasa madura kembang bhabur 1 smp kelas vii.

9 semester 1 soal uts dan kunci jawaban kelas 8 semester. Download kunci jawaban dan soal soal uas bahasa inggris kelas 12 sma x2f ma semester 1 terbaru dan terlengkap ulanganharian bahasa bahasa . Sala setthong jawaban sepaleng teppak ! Angenna salabung, bannya' keya se robbhu. Agama islam bahasa indonesia ppkn ips ipa matematika bahasa inggris bahasa madura. Pengajharan bahasa madura kembang bhabur 1 smp kelas vii. Apa nyamana budhu'na, budhu'na koceng…… Kurikulum 2013 kelas 12 soal soal ujian. Jawaban halaman 18 sekkar assre 4. Bheje para' siyang banjir dating. Kunci jawaban sekkar assre kelas 4 download file guru. "ojhan dherres" samalem bhenteng ojhan dherres. Agama islam bahasa indonesia ppkn ips ipa matematika .

Jawaban Bahasa Madura Kelas 1 / Buku Siswa Pengajaran Bahasa Madura Kelas 7 Revisi 2015 Aplikasi Bse / Pengajharan bahasa madura kembang bhabur 1 smp kelas vii.. Berri' tandha pakal (x) dha; Pelajaran bahasa madura kelas 3 ops sekolah kita. Bheje para' siyang banjir dating. Kurikulum 2013 kelas 12 soal soal ujian. Sala setthong jawaban sepaleng teppak !